Skip to content Skip to sidebar Skip to footer

Widget HTML #1

How To Find Average Value Calculus : How do you find the average rate of change in calculus?

How To Find Average Value Calculus : How do you find the average rate of change in calculus?. The first application of integrals that we'll take a look at is the average value of a function. Substitute the actual values into the formula for the average value of a function. Find how many values are given. How to calculate average value of an interval given subinterval average values? Divide the total by the number of values.

It depends on the time you search how to calculate average value. When you have to find the average of two or five numbers then you have to add all the numbers and then divide however in the case of the function you have infinite many values over any interval. Substitute the actual values into the formula for the average value of a function. Close submenu (calculus i) calculus ipauls notes/calculus i. The first application of integrals that we'll take a look at is the average value of a function.

The Fundamental Theorem of Calculus - At A Glance
The Fundamental Theorem of Calculus - At A Glance from media1.shmoop.com
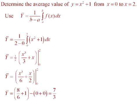
Substitute the actual values into the formula for the average value of a function. Jenn, founder calcworkshop®, 15+ years experience (licensed & certified teacher). What are we really doing each time we find an integral? Average value of a function on an interval. Here we find the average value of x^2+1 on the interval between 0 and 3. Ask students how to find the average of a bunch of numbers and they will say, add them up and divide by the number of numbers. the average appears to be 2, again since half the values are above and half below 2. Although average value and the mean value theorem for integrals are specialized topics and only show up in a few problems on any given ap calculus test, they are important concepts to master. We get the result below:

Here's how to find the arithmetic mean using the average function in excel.

In order to find this average value, one must integrate the function by using the fundamental theorem of calculus and divide the answer by the length of the interval. It depends on the time you search how to calculate average value. We get the result below: To do this, find the pair of numbers that has the same amount of terms on either plug in this value for. The formula to use will be: The first application of integrals that we'll take a look at is the average value of a function. How to find the average value of a continuous function over a given interval using calculus. Calculating favg is just to get the actual area of the function, and then reform it to a rectangle, then divide it by its width, then you get the height. Average value of a function on an interval. Half the numbers have values that are greater than the median, and half the numbers. The following fact tells us how to compute this. How can i run a nested function to calculate daily average temperature so i preserve the yr, mo, da, temp? The best way to understand the mean the area of the mean value rectangle — which is the same as the area under the curve — equals length times width , or base times height , right?

Half the numbers have values that are greater than the median, and half the numbers. So average price is rs 5. When you draw the line that is the apparent average lead the students to see. The following fact tells us how to compute this. By default, origin places the results in new.

Calculus: Average Value of a Function - An Exploration ...
Calculus: Average Value of a Function - An Exploration ... from s-media-cache-ak0.pinimg.com
Average value of a function. Average the middle numbers of a series with an even number of terms. What are we really doing each time we find an integral? Substitute the actual values into the formula for the average value of a function. Average value of a function on an interval. The average function is categorized under statistical functions. The first application of integrals that we'll take a look at is the average value of a function. You can find the average value of a function over a closed interval by using the mean value theorem for integrals.

› how to calculate overall average.

Find the average value of the function. Divide the total by the number of values. All the results for how to calculate average value searching are available in the howtolinks site for you to refer to. The calculator will find the average value of the function on the given interval, with steps shown. These instructions apply to excel for microsoft 365, excel 2019, excel 2016, excel 2013 when it comes to finding average values in excel, there's a difference between blank or empty cells and those containing a zero value. How to find the average value of a continuous function over a given interval using calculus. To find the median, you must first rearrange the data set in order from lowest value to highest value. How can i run a nested function to calculate daily average temperature so i preserve the yr, mo, da, temp? What are we really doing each time we find an integral? How do we find the average of a set of numbers? You can find the average value of a function over a closed interval by using the mean value theorem for integrals. When you draw the line that is the apparent average lead the students to see. Half the numbers have values that are greater than the median, and half the numbers.

By default, origin places the results in new. The first application of integrals that we'll take a look at is the average value of a function. These instructions apply to excel for microsoft 365, excel 2019, excel 2016, excel 2013 when it comes to finding average values in excel, there's a difference between blank or empty cells and those containing a zero value. Average value over a closed interval refer to video: We get the result below:

How To Find The Average Value Of A Function On A Closed ...
How To Find The Average Value Of A Function On A Closed ... from d2vlcm61l7u1fs.cloudfront.net
The best videos and questions to learn about the average value of a function. Calculating favg is just to get the actual area of the function, and then reform it to a rectangle, then divide it by its width, then you get the height. The best way to understand the mean the area of the mean value rectangle — which is the same as the area under the curve — equals length times width , or base times height , right? Half the numbers have values that are greater than the median, and half the numbers. Find how many values are given. Jenn, founder calcworkshop®, 15+ years experience (licensed & certified teacher). What's the average value of an a in calculus class? How do we find the average of a set of numbers?

How do we find the average of a set of numbers?

Now that you know how to find the average—in other words, how to calculate the mean of a given set of data—it's time to test what you've learned. But if you want to find average price of these 2 products then it would be rs 6 +rs 4 divided by no of items i.e 2. Find mean, median, & mode (averages). How to calculate average value of an interval given subinterval average values? Average value of a function. The best videos and questions to learn about the average value of a function. Half the numbers have values that are greater than the median, and half the numbers. For one thing, they illustrate how integral calculus can be used in applications. The following fact tells us how to compute this. Usually, the most effective solution will be. › how to calculate overall average. How do you find the average rate of change in calculus? Average the middle numbers of a series with an even number of terms.

The best videos and questions to learn about the average value of a function how to find average value. Find mean, median, & mode (averages).